According to the system of Rescue from possible disasters
and according to the system of harmonious development
I start with that
that I declare the concept of the principle of approach
which I built to prevent disasters
the principle is based on the fact that
that all phenomena of Reality
are perceived by humans
in the form of some images
in the form of a certain level of optics
it can be written like this
that any phenomenon of Reality
perceived by human Consciousness
in the form of optics
in the way I said
any phenomenon of Reality
can be perceived
in the form of certain optical phenomena
or optical system
I would call her that
and in connection with the topics
that it is the person who needs to be protected
from global destruction systems
then the most direct and safest way
is the development of Salvation technologies
based on human Consciousness
in this case any technology will be dependent
from the initial level
from which they come
i.e. from the desire of a person
and you can build it like this
that these technologies do not destroy man
This concept is scientifically substantiated
I defended it as a doctoral dissertation
This at work
"Applied structures of the information creation area"
it describes why if we create
based on one's own Consciousness
then these technologies do not destroy
in the event that they are dependent on Consciousness
On this basis I built an instrument system
First there was the defense of a doctoral dissertation
which was called
"Fundamental Definition of Optical Systems"
she is in front of you
and that means using these definitions
for predicting earthquakes and disasters
in the application in a specific
it was for production facilities
as for the generalization of this doctoral dissertation
then in fact we are talking about that
that this approach can be used to
to defend there
not only production facilities
but also any other objects
which have, for example, a primary Norm
this is the health norm
The norm of any integrity of an object
I built a device on this principle
which is on a crystalline basis
allows for prevention
and really profile and prevent
for example, a certain type of disaster so far
in this case they were tested digitally
these devices
in earthquakes and at some industrial facilities
here is a patent, in principle, you have it, then you can look at it
This means that the principle of this patent is based on the fact that
what is such a concept as registration of optical phenomena
and I explored the properties of light
if we consider the process
less than 10 17 degrees of a second
then in this case it turns out
what are the elements of future events
they are rigidly fixed as if
for those elements that exist in Reality
i.e. by measurement
real optical phenomenon
we can do
predictive phase of a future phenomenon
and the forecast is not probabilistic
and the forecast is direct
i.e. due to the fact that we receive actual
in fact, this is information
about those real future phenomena
which can develop
in this case i used
when constructing this device
facts of my work
in the area of irrational I will call it that
technologies
irrational technologies
these are technologies for sensory information acquisition
technologies certain predictive
technologies for using special mathematical apparatus
in which the apparatus itself is modified
depending on the event
and due to the fact that this system allowed
really prevent
in my specific practice
specific accidents of aircraft, nuclear power plants, etc.
various industrial facilities
and including any changes that are dangerous in the human body
all the material I'm talking about
it already has a fairly extensive practical basis
what I will read to you in this lecture
this will mainly be used
as already known facts
and what currently exists in the form of theoretical provisions
so now we'll move on to that
so that you can write out theoretical positions
at the same time, your lecture will not be just a lecture
in the form of meaning understanding
some theoretical or practical foundations
in fact it will be simultaneous
training on structuring Consciousness
I have a course called
"Structurization of Consciousness according to the system of Salvation from disasters
and according to the system of harmonious development"
in this case your Consciousness is considered
as a control system
From an optics point of view, it's quite easy to understand
when you have
some event in your Perception
in the form of an optical system
example , what is the sensory control principle based on?
or so to say impacts
then any optical phenomenon
by the system of general connections
it is related to any other
so your task
to restructure this optical phenomenon
i.e. actually determine the event you need
for example, Rescue from disaster
you in any way
change the structure of your Consciousness
and get control
I have given these lectures in various fields
which have an increased, so to speak, danger in production
This is aviation mainly for test pilots
then at the Gagarin Air Force Academy , etc.
i.e. where required
a specific level of management
which sometimes does not depend on that
the existing technical staff can allow, for example
or there are simply no funds
then you only have to count
on the possibility of remote control
the support of which is one's own Consciousness
in connection with this, the course that I am currently teaching
it will be based on an orthodox, i.e. known, basis
where can i use
Let's assume the known physical and mathematical descriptions
or some engineering and technical objects
and also on that
what will you receive now
completely new information
which you will apply
approximately in the same version
pilots and astronauts do, for example
but with all this there will be practically no difference here
because I also taught courses in the field of microelectronics
I am the head of the postgraduate department myself
so there is such a state enterprise for advanced research
It's called the Scientific Center in Zelenograd
and actually, people work there in microelectronics
it would seem to be a fairly passive area
from the point of view of any dangers
however, the area of Perception is exactly the same
like the astronauts have pilots
and the acquisition of the material proceeds at the same speed
i.e. you need to understand
that we are talking about the structuring of Consciousness
therefore you can apply this structuring
already at a practical level
wherever you want
and in principle if we speak
about the principle of information
That
each information object can be equal
This is one of the Laws of Information Distributions
then it turns out that you can be anywhere
through Consciousness to control it
so that there would be no, let's say, nuclear explosion there would be no catastrophes
in fact, the Salvation course that I am now giving you
it is based on the fact that each of you
receives a specific tool of Salvation
which can be reproduced by you personally
we are talking about a set of technologies
this is meant as I explained
irrational spectrum of technologies
where does it come in
and sensorics
and logical control
and mathematical apparatus
so when will you be
these lectures to read or for example to apply them
the main task will be to
so that you have
a very specific practical mechanism
and they worked with this mechanism
in the real conditions of your life
this is actually
managing events towards their creative plan
management of any level of development, etc.
i.e. we are talking about that
that mastering the material and your practice
it will be at the same time
so after the first lecture it means
all controls
which you have done, let's say, through your Consciousness
or found something
in the field of methodology or in the field of concept
this will be needed in the form of a report after the first lecture
there will be a second lecture next Thursday
i.e. everyone should write something short
at least on one sheet
and to me in the form of your thoughts or specific practice
put on the table
because the practice of Salvation speaks of that
that many things need to be done very quickly
then after the first lecture you will be practicing
I have mastered this technology
in the area where the pilots work
in extreme conditions in the field of test flights
so considering that it was possible there
transfer this technology
you will do the same
and there is a certain principle
that any technology
when a specific goal is declared
and your goal is to save people
must be adequate
adequate goal of saving people
is sometimes instant control
in connection with this lecture
structurally it will be presented exactly like this
what you will have to
to be able to, for example, through one's Consciousness
or by means of any systems of mathematical technical
save a person
and by purpose
an ideal goal that must always be followed
this is the salvation of man in any case
i.e. even if it seemed as if
the external signs of information are as follows
that preliminary information is received
about a hopeless situation
however, it means management
with the same optics
which I said about
this is the management of a specific Reality
in this regard, it means you can write it down somewhere
what is this lecture
this lecture
this is a specific methodology
management of real events
based on the structuring of Consciousness
to consider
how does such management take place
First of all, it is necessary to describe the system of connections
and actually define this system at the same time
to determine the system of connections
need to find reference points
reference points
these are the elements of information
which for your Perception
can create an algorithm for your management
First of all, I will now determine
the device itself
which should be with such a formulation of the problem
the device that I will now present
in the form of certain mathematical descriptions
must satisfy
conditions of reactivity to the developing situation
i.e. for example in the principles of quantum mechanics
there is such a thing as a measuring instrument
it can be rougher or change the structure of Reality
in our situation when it comes to saving people
we must obviously define the task adequately right away
and manage any system
and therefore you need to have access to the system
therefore the control apparatus that will be described here
it changes depending on
what is happening in the changing Reality
i.e. if you start work
and this work, let's assume, led to that
that some part of the work of Salvation has been accomplished
the instrumental apparatus may change
and in connection with this it should be immediately noted here
to fix somewhere very specifically
what is this change
must be fixed in a symbolic series
which is initially static
i.e. any processes
occurring in static equations
they can be different
and at the same time if we talk about that
how to apply a specific equation to control
then we should get in this mathematics
in fact, the control you get
under the same system that, let's say, the human body
it has one form
but at the same time you have a lot of Thinking
i.e., to put it simply
Multivariate Thinking
multiple or multivariate actions
i.e. one form contains many functions
or an infinite set of functions
i.e. with this approach, formal mathematics
or in a symbolic form
or in the form of specific mathematical relationships
which I represent
she will be clear
and therefore it is necessary to rely on it
from the point of view that you will simply learn in the future
elements of development of this mathematics
and everyone can, in principle, make up
your own methodological base for yourself
so when we talk about the optical system
then first of all we must describe
at least two levels
i.e. if we take, let's assume, the first level
and we will fix this level
as a border between
Perception
And
Reality

then it is obvious that there is, for example, a second level
level two is there
where are the connections between Reality
and between your Perception
generalized according to the system of common connections

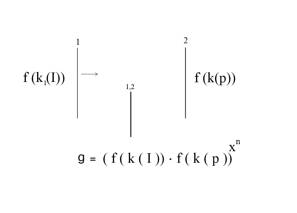
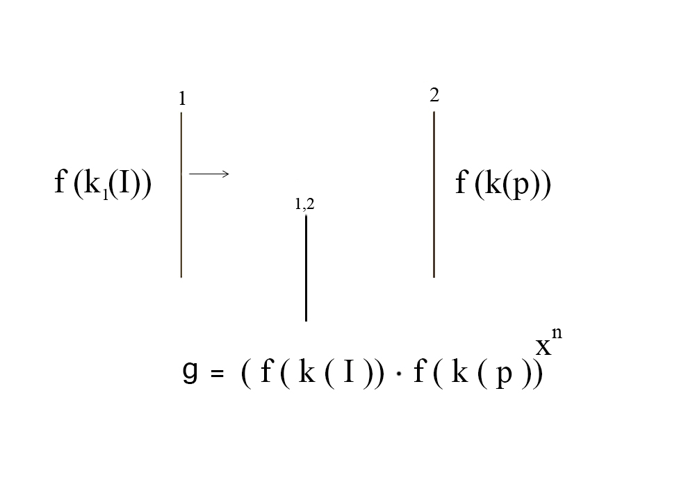
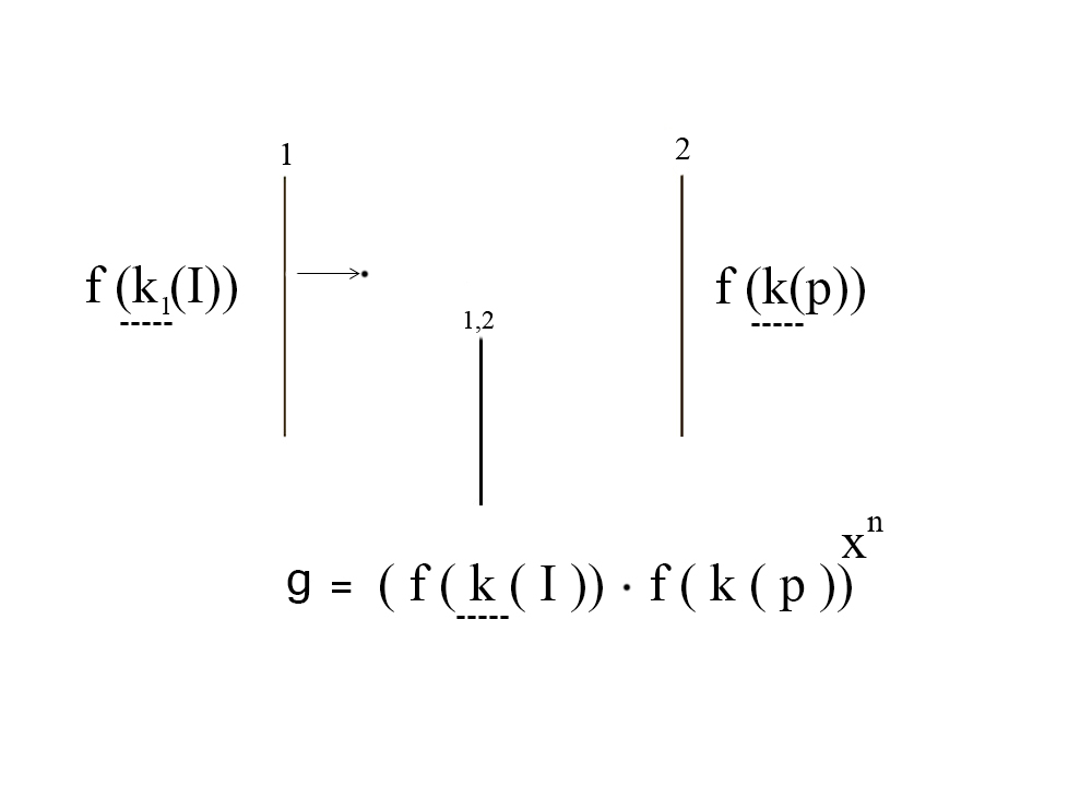
so we can write here for example
at the second level with a certain coefficient (k)
You apparently can't see it
here I will most likely tell you
Here

function simply of space (f)
some coefficient (k)
well , we take a function from space
if we are talking about Perception
then we take the same function
and we write it down with a certain coefficient (K 1 )
but it will be
I write a function of (I)
individual function
i.e. your specific function
which you can change
because you can change your Perception

due to this
if we consider
any element of Reality
which is located at the junction
between these two elements

then Generalized function
must contain obvious
in the form of an Implicit Region immediately means
these two positions at once

i.e. the function of individual Perception
I put the multiplication sign here
on
connection function
in the Generalized Information Segment
however, if we want to find out
how does it develop
The law of change of general connections
for this concept
then we have to put some degree there
I will call it x to the power n ( x n )
i.e. here the quotes are closed by x to the power n ( x n )
so if you consider
elements of your Consciousness
i.e. how do you make decisions
then some decisions happen as if involuntarily
i.e. you make decisions
because you think that this is what needs to be done
so here is the research of the issue
why are you making this particular decision
in this system
basically let's say so
in operator and functional form
is engaged
I can say such a word
that part of mathematics which depends on degree
i.e. x to the power n ( x n )
the concept x is modified
depending on that
what parameter of Consciousness do you enter there
although now I speak somewhat so to speak
Well, in general, it's closer to what I did in the patent there
there was quite similar mathematics used there
in a crystalline system
because the crystal system
built in the same way as Consciousness is built
and so when you work
for example with this parameter x
you will see
that depending on that
at what point do you decide
parametric series
which comes from the implicit function
it will change all the time
even for the same process
let's assume
you have there in his mind
chair table or pointer
or any generalized object
i.e. all phenomena that, for example,
you do not describe at the moment of Perception
that's when you assign x to a fixed system
i.e. you determine the coordinates
space, let's say, and time of the object
then you have
Infinite Region Management
g in you tends to Infinity
i.e. in fact g is bound
with that Infinite row
which you, for example, do not perceive
during the period of rigid fixation of Consciousness
the thing is that my course
it implies that certain things
you will have to know
in the form of possible multiple listening
and then I guess I'll do it this way
if now in this reading mode
there you can't write down, so to speak, in detail
but it's better to listen to what I'm saying now
then I just write what is being recorded on the microphone
I'll try to transfer it to audio recording
and you will have some amount of audio cassettes
then you will still have to
that's what I'm saying listen carefully
because for example those controls
which I write already in finished form
they have a very detailed formal appearance
in this presentation
and many concepts that I take
for example from the theory of implicit functions
Let's assume for proof
of this functional equation
equations of quantum mechanics were used
since you may have different ones
education systems
so from the point of view of, let's say, mathematical education
I will try to use it here
only those final formulas
that you need in a functional application
and in connection with this, what I say in words
it will actually be when listening
for you analysis
from which systems of orthodox known equations
this is received
in particular this particular equation
derived from the theory of generalized functions
but since you have as I said
there may be different mathematical education
and that is not the goal
apply , for example, knowledge
let's assume some higher mathematics
in this course
then referring, for example, to specific formulas
the main thing for you will be
apply this equation
in my management practice
so in connection with what I said
that the usual functional Laws
reflected in the conditions of this Reality
then, for example, taking some equation
let's assume the propagation of ultrasound
and mentally saturating
i.e. concentrating on this equation
and extending the thought to a specific object
there were experiments very specifically
for example, the temperature rises from ultrasonic vibrations
i.e. in fact
Consciousness replaces the structure of the physical process
or Consciousness succeeded with radio waves
remove let's assume information
let's assume specific words, etc.
i.e. it turns out that you will work
according to the given system of equations
to manage the processes of Reality
in this case, if we have before us
the information that there are some signs of a disaster
let's assume the possibility that
what is the nuclear process that occurs in a reactor
may cause an explosion
then in this concept
you define the parameters x
so coordinates
let them be ordinary
for example a nuclear reactor
or if it is better even this exact
or at least an approximate position
of this process
i.e. you tune in with Consciousness
that this nuclear reactor is located somewhere
this will be your formal area
as if based on which
you will change this process
in order to prevent a nuclear explosion from occurring
then you have to identify the element n
i.e. what is the power n for you
n as I explained
it can be a fixed number
and this determines the meaning of events in the current area
i.e. when you make a decision
you from the point of view of this n
you can change different situations
i.e. actually increasing or decreasing
Speed of Thinking
you can change the situation accordingly
so from the point of view of Perception
in fact, it works here
there is nothing complicated for your work
your job is just to determine
in this formal mechanism
direct control of any process
so direct control happens as I explained
I entered the area on purpose
where these two parameters are connected
although in the elements
each parameter
exists
any other
i.e. Perception on one side
on the other hand, if we put a vector form
let's assume there is a development of Perception

Let's just draw some vector here
then it turns out that it still exists here
and this area
and the area of all external events
so when it comes to management
about the individual control function
you see
at the intersection of these two elements
feedback system
i.e., in fact, it is a feedback system
which allows you
in real time
change the characteristics of the current process
that's why I entered
this is a boundary condition

considering
what i try to give
in the most general form possible
the words that I say
as we said
You will then listen to it on a dictaphone
and your task now is to identify
here is what exactly from your point of view
will be needed in order to carry out management
to be identified in all coordinates of this system
i.e. because
what we are talking about is that
that this function g

she means she describes
real Salvation of any system
and in connection with this
if we change the coordinates of Consciousness
we can achieve this in any case
this is the ideological formulation of this task
i.e. when you are listening to this lecture now
you have to focus on that
what needs to be done
explanations that I periodically provide
you will need them
in order to know the details in the future
or let's assume to use some mathematical apparatus
for analysis
using for example tensor analysis
I showed it at the time
what does it mean when we take
let's assume a function of events with some coefficient k
then when we write
Communication System
then this is the Communication System
equalizes the coefficients
I wrote the coefficient k here
and here the coefficient k
although here the coefficient k is 1

those. there is such a parameter
as unification of the Communication System
i.e. we must find in each event
a reference point that is universal
and this is the reference point
is your own Consciousness
so when you see here
the same coefficient
this means that in this system of equations
when we start looking for a degree
we get a constant of the same type
so in any development system
i.e. in any deterministic system
i.e. cause and effect
or direct irrational development
always a need to create
well, actually, a kind of steps
i.e. those methodological conditions and those levels
which will allow you
build the next management system
so that's when it happened
in this system of equations
then that would be if we had written it down
the entire Communication System
then we would get the conclusion
why does it turn out this way

This can be obtained using tensor analysis
i.e. it turns out that when you get control
and in this case we are talking about
Well, actually about the control system
true in the application, so to speak, to a two-component system
and at the same time the parameters
system control parameters
which is a person
should always be, let's say, at a more control level
and in the ideology of, so to speak, obligatory Salvation
the control system of which is a person
should always be in control of the entire process
in this regard, here is the concept of the "second level of constants"
This is actually an ideological task
which in formal mathematical form
is expressed as the alignment of the coupling coefficients
considering what I described again
in a fairly generalized form
then the connection coefficients are actually the same
for your Consciousness
specific elements of fixed events
these are some specific events
some specific elements
which events can supposedly be supposedly organized
and in this regard, when you find these elements
it turns out that you are registering
i.e. you react to events
here at this level of boundary conditions

where we have some generalizing component
let's assume that through Consciousness we can say
that yes, there is an external Reality
there are fixed phenomena of external Reality
but it is possible that something else exists
which, for example, we did not describe
from the point of view of a one-time Perception
so there is a principle of operation of this mathematics
which speaks about that
that you can control those objects
information about which does not exist
i.e. management of objects that are not informative
and in connection with this
since a whole series of events can be like this
that we don't have information
so to speak at the level of some registration systems
or we don't have information there, let's assume, in Consciousness
let's assume a person sleeps there
or as if the systems are turned off
as a result of some electromagnetic impulse
nevertheless, the same task remains in its entirety
you still need to save yourself and others
that's why this math
it describes the management of those systems
whose functions are not defined
and when did i do it
for example, here is the same patent for preventing disasters
or, for example, built mathematics
on the fundamental definition of optical systems
this property was originally laid down
and not only because it is Reality
i.e. naturally there are systems
whose functions are undefined
and we are talking about real salvation
so we must know these systems
how to manage them in this sense
and later you can decipher them
but that's the point
that systems with uncertain properties
they can be an accelerator of the control impulse
or vice versa, even an instant access system
why the other way around
because the acceleration system
it is a vector that is directed in one direction

if on the contrary we build mathematics
i.e. we solve the inverse problem
then at this point

there is already management of this system
this turns out to be a vector-inverse problem
from a mathematical point of view it turns out that way
solution in physical understanding
a process that is directed in the other direction
simple even vector
and so when we talk about that
how to manage
still processes that are not declared, for example
then it is enough to put here
the same function g


then it turns out that if we set this function
then we get a closed system, which means implicit connections
which is organized at this level
with the same parametric
at the level of invariant systems
so let's say values
which have basically the same function
i.e., to put it simply, we have
invariant system of equations
and if somehow we change the coordinate system
then the base level is always preserved
it turns out that by constructing mathematics in this way
we can describe phenomena
with which the object is associated
and the phenomena with which the object is associated
this includes the phenomena of the entire external Reality
those. virtually all phenomena of the World
This equation reflects
as one local area
and all external phenomena
in relation to, i.e. to, the boundary conditions of these phenomena
is a description

i.e. translation of this Implicit system of equations
in system 1.2
and then you get practically concrete
specific event area
in which in any case
you achieve the act of Salvation
then it turns out that the tasks
which, for example , are not defined functionally
i.e. for example you don't have
let's assume some specific coordinates
to define an event
these tasks are solved as consequences, i.e. as conclusions
in this system of equations
in the appendix to the General Communications System
considering what I just explained
what can you do math
which takes into account all the phenomena of Reality
and considering that in this mathematics
component of your Consciousness
it is described
i.e. you can change the structure of Consciousness
naturally change all connections
then it is clear why it means changing the optical component
i.e. changing the intensity of Thinking
and so it turns out
optical reproduction of your Thinking
you can change to Reality
i.e. change there for example, slow down there
speed of the process suppose
in some radioactive form
or we can assume, strictly speaking,
manage any system
in relation to which there is harmonized access
the concept of "harmonized access"
that's actually speaking
elements of Reality that do not need to be changed
i.e. there are roads, cars drive, trees grow, etc.
but this is also a large amount of information
and elements that need to be accessed
so, to highlight it right away
what should be correlated
i.e. so that some destruction would not be carried out
then we need to consider it then
a system of direct, i.e. unconditional access
when you hit an element of some kind
without any time at all
i.e. you
you need to do a reconstruction of the event
and reach the structure of Salvation
you do it right away
in this regard, then look here
there is a patent for this device
there is here, so to speak, a way to prevent disasters
there is such a phrase and device further
for its implementation
so here is a way to prevent disasters
it lies precisely in this technology
which I just told you
it means that due to the fact that the technology is based as I explained
on the real Laws by which Consciousness is structured
which have been tested in practice
for example, I diagnosed aircraft at various stations
or controlled from a distance
material concrete structures
then for understanding, here, for example, is a descriptive version
how does this patent work
how does this device work
and how does the method work in general
it is enough just to translate everything that I said
to specific expressions already
suppose "Fundamental Definition of Optical Systems"
but since in principle it is here
and the only thing I could note here
You'll have to read this later
I will distribute in larger quantities
Here it will be necessary to note the following
what when you have
for example, a management structure of such quality
that it works under any conditions
then the question immediately arises
that those conditions have been created
which must necessarily be harmonized
with all the development information
and they should be the same
that you must provide mandatory management
i.e. here in the Salvation system
mandatory management level
it is therefore mandatory
and here it turns out
that when you save someone
you should know for sure
that you will save in any case
so the technique accordingly
should be built in this way
in this regard, the method
it is largely based on this principle
i.e. you must be able to
means to apply and generally use
such technology that is created in such a way
and he takes this method into account
the possibilities of your Consciousness
I'll explain briefly
This device is built on the basis of crystals
it was a calculation for diamonds or rock crystal
and the principles of its operation
they are actually, as I explained, similar to those
by which your Consciousness works
in this regard, any element of Perception
in the form of an optical element again
registered by a crystal system
is being transformed
and that means here it is necessary to note what I said
principle of harmonization
i.e. the device reduces the strength of the earthquake
the tests were carried out on
in due time
nuclear explosions at testing grounds during the Soviet era
and at the same time the decrease means magnitude
it was recorded in principle so that several times
and at the same time quite in harsh conditions
i.e. it is outside of the physical Laws as described
i.e. the wave from nuclear explosions spreads
from underground nuclear explosions
and at the same time it means on some element of movement
extinguished several times
and it doesn't happen
any special transformations
for example in the soil
so this is the function of this device
this is a reduction in the strength of some problematic consequences
and the second means fixation
if it means, for example, that the device's resource is insufficient
that's why I'll explain it here now
how does this device work
and it will be clear schematically
how your own Consciousness can work
so that you can, for example, cope with the process
the thing is that since the Laws are of the same type
then it turns out that we have basically
here it’s more like a training device of its own level or something
by which you can build your own Thinking
This is of course one of the models
i.e. if you consider another system of equations
you can get
i.e., simply put, another, for example, some kind of instrumental embodiment
but nevertheless, an important component here is
what if, for example, you concentrate your thought in the form of a cone
and let's say enter it on the third crystal of this device
then the decrease in force, for example, in magnitude
increases sometimes
in general, even in an incomparably large number of times
there, so to speak, in logic, for example, decimal divisions
there are 10 17 times
if you apply concentration of thought
i.e. the device depends on your Thinking
and in connection with this, since experiments were conducted
and such content
it turned out to be the concept that
Well, it comes down to the concept of , let's say, "biofields"
although I generally try not to use it here
any concepts that are not defined
but nevertheless it can be considered
that there is a biofield there
i.e. considering that all known systems of Reality
for your Consciousness they exist
then Thinking is a structure that is divided
on what you perceive
let's say if you perceive the biofield
that means from the biofield
or related to the biofield
maybe your Thinking
but if you think in categories
let's assume an event plan
then your Thinking perceives
already precisely the elements of events
i.e. your thought will not only be a biofield
and fix it
let's say I have digital registration methods
when the thought is visible
so maybe it is
characteristic of the intensity of thought radiation
in general, even completely different
i.e. to talk about that
that Thinking is precisely the reproduction of the biofield
with such a level of instrumental measurements
it is forbidden
so here I want to describe now
how does the signal separation structure work
which means it will also be used by you
in order to build your Consciousness in this way
This is called structuring of Consciousness
i.e. knowing these Laws
you must be able to manage
so if you have
well, for example, let's assume three vector signals again

we will call it so that it is a boundary region

and these are three vector signals
which come from some problem
in this case, before, for example, a crystal system
consisting of a number of crystals
they are located differently

so there is a map of the area
and for this terrain map
the distribution is thus focused
using laser amplifiers
that information is localized, for example
and it penetrates through the crystals
and is distributed like this
actually isolated there if in mathematics
that means level
which speaks about the state of the Norm of the object

so let's assume we denote
well let's say some object in the form of N Norms

then this object
if we take for example
Well, let's assume we apply the equation of mathematical physics
and describe mathematically
then we can assume any system of equations
describe well in a cylindrical area
which speaks about some system of Reality
then those elements of information
which go in relation to the perceiving level
for example, I will write that this will be the perceiving level

they are connected, well let's say so
with each point of this object
from a mathematical point of view
this is basically a particular solution of this equation
in a specific area
the area there may be different
increase, etc. decrease
therefore, having, for example, three vectors of Perception
which you register with the help of your Consciousness
to intervene and change the process
towards Norma
i.e. get the inverse vector
as I explained it is enough to use
system of indirect connections
i.e. not necessarily deterministic
and can a solution be found
in the area
whose functions are currently undefined
but the function of this area is, as it were, already realized in that
what is this Norma
i.e. Norm of boundary conditions
this is a function of indefinite domain
and so when you look for example
how do these three vectors go , let's say

then we can, in principle, mathematically, as it were, distribute
let's assume for one crystal

let this be the first crystal
let it be some kind of crystal n1
in general, there are seven crystals in this particular device
so but as I said
what is the arrangement of the crystal system
depends simply on the solution of the equation
That's why I'm writing the n-dimensional version
then it is clear that the distribution of, for example , these two signals
per crystal
or if we even designate them

let's assume it will be the first second third vector
this is the first, the second, this will be the third vector
then if we, for example, the first two vectors
elements of your Perception
and elements of the general Reality
hit the first crystal
and the third one, let's assume, is a vector on the crystal, some n1
then all elements that are between for example n vectors
we can assume that they got there
into some intermediate environment
so that's when we talk
about this certain intermediate environment
then it's just mathematical
and accordingly by applying the substance, i.e. crystals
we are in the concept of this certain environment
and already specifically formulated in the form of an element of the Norm
i.e. Salvation in any case
we see right from here
specific real events
which can modify this Norm
so when you solve a system of equations
let's say in the intermediate region
between the first and some n-th crystal

then you get the parameter that says that
what if the device detects
illumination for example like this
that some k-th component follows
an earthquake is starting there, for example
or something could happen , for example, in a production facility
because this patent has been tested
and for any possible emergency situations
at production facilities
there are just different degrees of radiation intensity
changes
if in case of earthquakes
it has some one coordinate
then if the device is configured
on the production facility diagram
then the intensity is just different
and here is the change in radiation intensity
can be recorded in seven days
what will happen in this object
and when you look at this diagram, for example
then you can build it right away
and the structure of one's own Consciousness
on standardization of information objects
here in this case
let's assume that we have some k-th component
Here

then just take this very scheme
and let's assume that we have isolated the k-th object
or by linking it with the Norm of Events
you will receive in fact
it means the distribution in your Consciousness of that Norm
which leads to a successful outcome
i.e. no destruction occurs
i.e. it could be
or warning information means diagnostic type
when can action be taken
if this
it is not possible to take such measures due to time
this means it is direct control through your Consciousness
in fact in this case as I give you
elements and logical and mathematical
and levels of direct control
which I attribute to the irrational realm
then your task is to build the structure of Consciousness so
so that the communication elements were like this
Here's how I explained it now, for example
and so when you these elements
at work you even see the device repeating
then you find some legislative levels
i.e. a system of Laws that would explain
why is this scheme designed this way
and when, for example, we designate
1 - for example, these are elements of , let's say, past events
2 - Current events
and 3 - for example , these are elements of future events
then in this case we are talking about
about Optical Communication System
and as is known optical elements
they can demonstrate most clearly
Communication System
by combining these three vectors
some let's assume system
I will call it the Optical Communication System

we just connect geometrically
then we get that the events of the current time (2)
including dependent in a rigid System of Connections
from future events (3)
in this regard we can say
what is this crystal

it simply records events
future development elements
and that's all
so when we measure intensity
some intensity
then let's assume the intensity is multiplied by K

in registration systems
immediately indicates the presence of, for example , some kind of problem
and getting this intensity
in the form of intensity for example j 1

the device starts working
by the principle of equalization k
as I explained here
i.e. equalization of the coefficients of the Norm
and this is the equalization of the coefficients of the Norm
it happens like this
that the concept k which I identified as
as a possible problem
it is not carried out from the point of view of your Consciousness
because your Consciousness is oriented towards the Norm
and then it turns out
that when you are in the form of a thought
there we assume in a conical form
on any crystal
let's say you form a thought like a cone
and you think that this thought is
at the entrance to some crystal
then you can enhance the parameters 1 2
i.e. the norm that was identified
in past or current events
and this Norma
she is on the General Communications System
propagates back to the object
in this way the strength of the earthquake can be reduced
and due to the fact that this device
it depends on your Consciousness
then accordingly if you concentrate there for a long time
you reduce it significantly
less is less
these technologies are already
let's say in the version that was tested
so it worked
not only suppose to reduce the strength of the earthquake
it was possible to reduce it there
source of radioactive radiation
and a very powerful one at that
there is the power of laser radiation, etc.
it means that at one time I just studied for a long time
protection of various space objects
from destruction including laser destruction
and in connection with this this technique
it actually allows certain elements
well let's say those that, for example, may arise
or suddenly or not suppressed
if for example from laser radiation
it is possible to build a system
Well, let's assume thermally expanding graphite
which is expanding greatly
and the laser radiation is basically extinguished
that is, systems
for example, there is some kind of flying homing dummy
just mechanical type
and if the registration was done correctly
then no false targets
they do not shift these blanks
so it turned out that having built
for example, a system based on a rigid connection system
for example, elements of the so-called control
through the means of, let's say, an investigative instrumental organization
i.e. the devices are connected only in that case
if the blank is not deflected
and in conditions of, let's assume, an increased level of communication
when we are forced to do something like that
that take into account completely different communication systems
to ensure just one level of security
i.e. to ensure that if that's the case in essence
life in real safety of one person
we must take that into account
let's say the satellite system didn't work somewhere
so that there is no self-launch of, for example , a nuclear missile
somewhere we have to take that into account
so that the explosion let's assume some explosion of a nuclear reactor
did not cause homing again, let's assume, of missiles of other countries
and there were already options for self-launching rockets
which were possible well how to stop
i.e. the technique can work regardless of that
whether a person wants it or not
i.e. technology reaches the level of an uncontrolled system
well, as you know, in reliability theory
naturally in a multicomponent system
absolutely stable
build it in principle
according to such a theory it is impossible
with this technique
therefore, management is the consideration of all factors
first of all those
which can actually provide , for example,
life to a specific person
under the conditions of the supposed existence of the globe
so if we talk about management
then we must definitely speak up
about real governance from the point of view of Salvation
and in this regard we are talking about that
what as I explained
instrument - oriented systems
but which means they only work in that case
if that thing is moving there
towards, for example, a satellite object
or, for example, the possibility is growing yes
nuclear explosion at the reactor
but we need to know for sure whether it will explode or not, yes
because if we do anything
and other systems will start up
just like I explained
on the task of protecting a space object
it turns out that we can situation
to over- or to press, i.e. to make stronger
the situation that actually exists
for example, it did not require additional control
or it could be controlled later
i.e. here is the problem of solution accuracy
in each specific case
this is a special task
taking into account all connections
and this is the accounting of connections
it is produced therefore
at the level I will call it that, so k -th element
of this crystal module

which is precisely what chooses
Norm of the event
in relation to
to all events
which exist from the object
which you are engaged in
those. kth element
he actually has well, some of the same thing
functional reproduction

I'll call him like this g from K i
but it is implied
that K in this case is already a functional series
and if I designate
in the Norm of events for example area
this segment is a specific AB segment

if I describe as g from K i
then we immediately get the exact solution
under controlled conditions
i.e. how can I say it
we can, for example, slow down the nuclear reactor later
or we can not put protection on some object
because the object is basically safe anyway
i.e. the same blank, for example, flies by and that's it, etc.
i.e. this is what is called
level of quality solution
which allows us
to judge the situation that has arisen with absolute precision
so these are the functions of this device I consider
any technique
which is in harmony with the person
consists precisely in that
so that you receive
human controlled decision
i.e. the devices should not destroy anything, for example
and plus provide communication
with all external Reality
i.e. let's assume if we take
something on the left
if we consider it as an environment
then it can be an infinite number of connections
so here g from K i -you are harmonized with that
that no object on the left is destroyed
and so when you do harmonization
i.e. the force decreases
nowhere in instrumental measurements and calculations
no gain was seen
for example, magnitudes in some other region
i.e. that is why the situation here is as follows
that I made such a digital analysis system
which allows you to make registration
by all so to speak external phenomena
it includes , so to speak, digital processing
all of outer space
monitoring the planet's surface, etc.
and at the same time I mean on the basis of my
formulas of general Reality
made the theory of wave synthesis
which, when strengthening, for example, this k-th component
for example, a laser radiation sensor
we can Norm of events
to fix even more
but with some kind of instrumental amplifier
let's assume the same coherent laser beam
and it turns out that when the laser beam
at a certain setting
describes a certain trajectory
already filming in measuring instruments in indicating instruments
means processing on a computer
information
we can strengthen this norm
in a reciprocal manner
and with all this
get that decision
which, well, in a particular case we should have
from this system of equations
thus we have this
in the form of a system of equations
as an implicit function
so in this case we can already describe
some similar harmonizing laws
how is your Consciousness
so let's assume the instrumental phase of the development of Consciousness
but at the same time the structure of Consciousness
as a registration system
which is laid down here

and as a control system

it is an add-on to the device
and when any system is built like this
you can always count and know
having laid down, let us suppose, in the structure of Consciousness
element of this device we assume there from the picture
and having laid down in the structure of the image of a person in the device
we can say that it is harmonically adequate
this is the concept of "harmonic adequacy"
this is a fairly specialized area of knowledge
but from the point of view of the Salvation system
this is the future development of information
and therefore, as the future development of information means
must be perfect
either individual or general
and sometimes both individual and general
then everything that is there
between individuality and generalization
this is also a level of harmonization
so from all possible points of development
this level of harmonization is being built
and if we take for example
let's assume the same function g
only as a function of space
but the space of your Thinking

i.e., designating Thinking
in some space
from the point of view of Perception
we get that this coefficient K
i.e. some kind of non-Norm in this case

some difference from the norm
has approximately this combination
Well, for example, I'll write it like this
(const) constant any constant let's say
divided by K

and if we are for the subject of this constant
we take the perception of another person
or the integrity of any other information object
then as soon as we K
in this case we got in this expression
functional connection
dependent on a constant

but the variable part is K
if we define K as K i -ta

so here is the system of definitions of existing connections
in the system of equations
namely the definitions of connections
then you can get it
multivariance
infinite number of solutions
for example, I will return to the same thing again
a person can think about whatever he wants
i.e. to define his Thinking as he wants
the same thing defining this element
i.e. defining the space of Thinking already


in connection
with the space of events for example
in the form of a completely fixed area
for example, human forms
and putting the component K i there
and translating
True, there is a special solution there
in the field of theory of functions of a complex variable
translating this
into the system of implicit functions
can be proven unambiguously
that any decision
from the point of view of adequate harmonization
or simply harmony and the system of Salvation
it is always feasible
i.e. it turns out mathematically formally
I proved it in mathematics
that you can always save
the question is only
in the application of technology, i.e., in fact, in knowledge
and it turns out that if we
for example, we even talk about building technology
that is, a fairly simple principle
here is the understanding of what the technology should be
actually speaking from the point of view of safety for humans
Well, for example, take this postulate
What
God created man
but man cannot destroy God
the same thing, this principle
having created technologies that include technologies of Consciousness
i.e. the form of a person
its reproduction
everything related to a person
and laid down in the management structure
of any given device
it is possible to create technologies
which react to this system and do not destroy
in this case, a chip has already been created
which means it was used truth
when transporting certain objects
but in any case it does not destroy the object itself
i.e. it is transformed and acts on the whole system in such a way
so that the object is not destroyed
currently within the framework of the Ministry of Emergency Situations
This is Mikhail Andreevich Shakhramanyan's
work related to this is being carried out here
to transform the signal
and receive information for example
but the signal conversion is in progress
based on the fixation of thought forms
so thought forms are obtained in this way
what if you have thought forms
let's assume related to that
that it is necessary to carry out some act of Salvation
then these thought forms
they are being laid down
so let's say in your future in your information
and it turns out that in accordance with this
you get a real solution
not only because you
for example, something, well, as if they did it
have determined something
that means and therefore so
but also because it existed
i.e. having initially laid down something
in the future this could already exist
this is the technology that is used in this microchip
i.e. if you, for example , pawn
as an element of light
to save a person there, for example
or save the system
ensure harmonious development
pawn now
then the answer comes to you in this microchip
as if from the future
but in reality this parameter is measured later in the future
in this part of the lecture
basically I'll be giving you now
methods of structuring Consciousness
which are mostly described by words
and therefore under structuring
implied
like on the same principle as I explained
light works like this
that each adjacent element
events
or it is a future event
or the past
or current
interconnected as if separate blocks
it's the same as taking it there
to place, so to speak, in a rigid system of connections
several, well, conditionally some rigid elements
if it happens anywhere
there in the future the element will somehow be deformed
this is according to the rigid lever system
transmitted at the current time
and the same thing
not only can such a branching be possible in the future
can be had at the current time
Well , and of course you can have it in the past
therefore it turns out
that changing the structure of Consciousness in the current time
you can manage processes at any time
and this is from the point of view of time
but the event part is included in time
means any space
space means informational
where there is physical space
or the space perceived by you, so to speak
i.e. in this part of the lecture I will use that
what does it mean to distinguish between the phenomena of Reality
to those that you perceive
and those that you analyze and manage
those. in fact, the distinction itself
only occurs within the level of Perception
Perception is an element of Reality
means analysis or conclusions and management
since you are dealing with the system of Salvation
and this course is exactly on the Salvation system
then according to the structuring of Consciousness the distinctions are as follows
what does not need to be recorded
as if the negative status of the event
and your Perception should be like this
so that immediately at the moment of Perception
you were in control
i.e. they immediately received a management decision
and at the same time the structuring of Consciousness
in this General Scheme of Rigid Links
she is like that
what if from the point of view of optics
or so to say optical system
you could say the optics of your Perception
here we are talking about just that
to complete a certain form
or fill in additional
or it could be internal intensity
some optical object
if it can be imagined like that
if we need to get
reflection from a certain sphere
then with a light source
through a row of mirrors
reflection in some place
we are just that
or rearrange the mirrors
or increase the intensity
to get in the reflected beam
the required intensity
that's all
because I give Perception
which registers, for example, the phenomena of Reality
there are such concepts as, for example, clairvoyance, extrasensory perception
and similar concepts including Human Thinking
then when you think about it
or in general if you just ask the question
what they are from the point of view of Perception
all these phenomena
then for example a clairvoyant he sees something
in sensorics something can feel
but to translate into a visual image there
although clairvoyance in sensorics goes
sensorics can be a subdivision of sensorics
if you see the future, there are also some optical elements
just simply or some images signals
consider in your Perception
that's why it turns out
that any system of Reality
can be translated into an optical system
for your Perception
and when you think about it
for example, what lecture to go to or what work to do
you think first
then you produce something physically
suppose you go
i.e. you implement this control system
which locally means what do you think
does it affect you
in this case
but according to the General Communications System
even if you think about the physical meaning of this phenomenon
while you're walking down the hallway to some lecture
it means you meet someone on the road
and it turns out that you change
in the structure of local events something
it's in the General Communications System
manifests itself in a certain way
it turns out that any event gives
a parameter of a certain trajectory or something
or development dynamics
trajectories from the point of view of, for example, quantum
quantum of optical element
it turns out that in order to change an event
you need to arrange your system of Thinking in this way
i.e. to derive the optical range of Thinking
to the control area
so that these events become manageable
as you need
and therefore sensory phenomena that are determined by that
that remote control arises, for example
if this is a treatment
or let's assume if this is a decrease
means the intensity of the source of radioactive radiation, etc.
then you work only through your Consciousness
and here are the intermediate connections
they are carried out directly and almost instantly
so that's when I started describing how it happens
such influence
then here they appeared in your Perception
areas that receive signals
from the control element of the World
having looked at how the world is arranged
and perceiving that element
where Information creates Reality
having set a task for ourselves
consider
that section of Information
where Reality is created
you will find it right away
that there is a special level in Perception
well, actually like a detector
which interacts
with this particular element of Reality
where if you change your mind
this is going on
or on physical
or to informative Reality
and therefore here in the structuring of Consciousness
according to my system of Salvation
you will have to see
a very specific connection
what does it mean to arrange the thought
to the management level
you must gain control
i.e. for example if necessary
prevent an explosion in a nuclear reactor
if necessary you can do that
that even well generally speaking you need to do that
to set a goal
Salvation in any case
I had some in my practice
what was there in the falling plane I was increasing the boards
which burned out
this device when it is expanded
I mean, I 'll bring you this article
in the journal "Microelectronics"
it was published last year
there at the same location
for example, some element or board
above the third crystal
we actually received the materialization of this board
or some element
i.e. the device can build up the substance
and therefore as I explained
structuring Consciousness in the same way
you must be able to build up the substance
example to save an airplane
or if something burns out
Means you must manage
in other words, any information objects
in this regard, the situation here is as follows
what is the element that I described
as an element of Perception, i.e. in the transitional area
which means that it is the one that determines the management
it must be revealed in your Consciousness
as soon as you identify it
then the problem arises
distributing it in this way
in your element of Perception
so that management is positive
and destruction was not allowed
so from this point of view
control can occur
firstly, directly through a formal mechanism
let's say you take the formula
which I wrote as a function
and then you define the event in the parameter g
if this parameter is described by you
then concentrating just concentrating
on the x icon
and introducing n there from one to ten
you can normalize this event
i.e. this is the most simple level
when is the formal part
where Perception connects with Reality
highlighted as a formal mechanism
some types of formulas as I explained
there is wave propagation
are subject to the same Law
i.e. working with formulas, even studying physics
you can feel and experiment with all of this
so when we talk about that
how should your Perception be
from the point of view of your Consciousness
where Consciousness implies
a more general form of your personality
information form
then here it is clear that all that is needed is just
to highlight the elements of connection in Perception
between your Thinking
and where do you think, i.e. the space of Thinking
and communication elements
between
by your Thinking
And
element of Reality
i.e. for example where is the element of Reality located
in your own space of Thinking
so if you think about it
what do you think sometimes
and let's assume that some situation arises from this
which you would like to happen
then that means you were
in the field of event management
and correctly thought through this situation
if just Thinking
which does not aim at, for example, management
then it may not be in the control area
therefore the task
management of Reality and real events
will be means including
and the organization of Thinking
in the field of event management
so when for example we talk about that
what needs to be done is to save people
according to some specific manifestations of some anomaly
then first of all the question arises
about the Salvation of all at once
from the point of view of preventing
let's assume the most obvious elements of destruction
such as, for example, a global catastrophe
from a large resource, let's say nuclear weapons
so when you structure
Consciousness according to the Salvation system
first of all it is necessary
create that optical background
at the management level
which would take into account the general status
i.e. you must always work with the consciousness of thought
that first of all it is the Salvation of all
for example from the most primary possible
for example, possibly known situations
such as, say, nuclear destruction
or some global catastrophes of the next order
including those that may not be known now
at the level of logic
when you put your thought like that
you immediately enter the management sphere
i.e., in simpler terms, you set the optical glow
in this area
i.e. if you imagine that I have a certain lamp
a system of mirrors is installed
then I kind of turn on this lamp with this thought
i.e. I start to use the control system
then further as you are located
in the General Communications System
i.e. each person is interested in it in his own way
so that there wouldn't be a planet being destroyed in a second
then he participates
but that means not always consciously
which means he doesn't always set this task for himself
but nevertheless in the System of General Connections
one way or another he is involved
so the second task will be
identification
individual characteristics of their own
which means which would determine
still an individual direction
your specific Thinking
in order to convey already
from the emerging sphere
information further
like, well, to the next level, for example, to the mirror
which is located at a distance of 20 centimeters, conditionally
so why exactly 20
because as soon as you put
a specific fixed number, for example 20 centimeters
you immediately fix the interval
i.e. well, you make some kind of reference point
according to the formula that I showed here
this is actually a parameterization
i.e. you set the parameter
set the parameters in the system of equations
which also depend on the initial boundary conditions
to solve any physical problem as you know
we need absolutely correct initial and boundary conditions
to obtain a quantitative solution
we must therefore record
in connection with this next element
is the fixation of the control level
i.e., to put it simply, if it’s not very clear to you
that somewhere further means there is enough illumination
to pass to the next mirror
then you have to somehow strengthen it
or illuminate the mirror or darken the external environment
i.e. reduce external lighting
i.e. this is the fixation of the control area
now we come to what we need to do
i.e. from the last mirror
which is already moving on
to the registration level
the concept with mirrors is of course quite schematic
but it will go like a thread now
for process matching
Thinking
management
with a process such as that which occurs in optics
so we must from the last mirror
get the intensity of, for example, a light flux
which would say that everything around is okay
for this
so the next level is
display of one's own status
i.e. there is such a principle
that the rescuer must save himself
so you are building up the second sphere
in the form of this status
i.e. the source that comes from the radiation intensity
you look, for example , at some sensor, let's say, at an oscilloscope
which registers the intensity
or am I now many systems
I already said it specifically
what is there completely different systems
intensity registration
and I generally speak in the application to this device
that's why I'm talking about
it is desirable to somehow internally mean to be aware of viewing
what does it mean when this device is working
this is roughly how it happens
optical level detection
but unlike mirrors, there is basically just a crystal there
so that's why mirrors
because in crystals
reflection still occurs
so I started to take it apart
it is the principle of reflection
from some static areas
so moving on to these mirrors
you can see that they all seem to be taken from the same pile
which is at the registration level
where we measure the radiation intensity
and that's when we actually already
The radiation intensity was measured at the very beginning
when was Norma
even when, for example, no problems occurred
from some external source that is located
let's say in front of that mirror
which he us at a distance of 20 centimeters
so if this external source
begins to change somehow in the future
or in the current tense
or even if it was changed in the past
as i explained about the plane fee
where the board burned out and needed to be materialized
then the whole package of mirrors
which is located along the route
he should be like this
what was still in the elements of Norma
i.e. the next level of formation of your Consciousness
this organization is already the next third sphere
in the first area
i.e. you are just mentally at a distance of 5 centimeters
How do you think that in this area, i.e. build it
that level is located
where is the element of fixation, i.e. the element of your Consciousness
is an organizing element
which means the one that brings you back to normal
as if that which is on the path of development of your Consciousness
met
simply put, wherever you touch with Consciousness
Norma should be there
this is the third sphere
it passes as if into the first sphere
and adds glow
i.e. your overall illumination is already increasing
but the glow is not simply intensified
and it turns out to be special
where standardization is highlighted more significantly
rather than just a normal flow of information
i.e. it turns out that the standardization
this is exactly what was originally intended
in the primary Norm of the object
and now I'll tell you more
about the Law on Dissemination of Information
from the point of view of Consciousness
so from the point of view of Consciousness
the dissemination of information is such
that you are the final level of information
for example, if it is presented in a package
for example, you say a word or a sentence
so here it is
the last word in a sentence
it is normalized in relation to the first word
in the area of your Perception
i.e. the norm occurs where you perceive
and in connection with this
area of Perception
so you highlighted
closing all elements
for example on the same first sphere
you have identified the normalizing component
which by nature it is simply from the Creator
there exists
that's why it turns out
what is the selection
control level of Perception
this is such a technological process
which I just told you about
but with all that
this technological process is actually like this
that you are already putting standardization into this technology
in the area of development of your Consciousness
i.e. it turns out that, for example, the same touch control there
or if you can call it that
although I call it here
in this case I have
it can't be named
for example, precisely with touch control
because
or just sensory
because that's what we're talking about
that this technology can be mastered by anyone
we are talking about the fact that there are devices
which recorded the presence of optical elements
that actually interact
with physical or informational Reality
where we assume the informative Reality
is divided into physical and, for example, let's say, another
and if the optics change
i.e. Thinking changes
in sync with this optics
then Reality simply changes
i.e. it is simply as a type of certain Laws
and how much is this related to sensorics
sensorics implies some biofields there
let's assume that some intensity is quite high there
so apparently they think like this in the theory of biofields there
that it should somehow increase or decrease
in this case i'm not talking about this part
manifestations of the human body, for example
I speak in this technology
about event information management
and event information
includes all possible concepts there
including biofield sensorics there are physical fields
in general, all the absolutely concepts that can only exist
that's why I say
this is event domain management
and in this regard, when we consider, for example,
generally speaking any event function
then the control component
manifested
or at a point, for example , the outgoing source point
or at the point of development of events
where control impulses
it would seem that there could be absolutely any design
Well, that's why this is your task
next level
as soon as you do this
revealed
the element of Perception which is the controlling one
your task is to manage at any stage of the development of the event
and this means that all sources
must be configured
Well for example in one thought there
the nuclear reactor there doesn't explode
so that the plane doesn't crash, so that, for example, a person doesn't die there
and then around this situation
you start to build a position, well built on the principle
source of information
or information stock
so by constructing the event element as a source
i.e. having considered it thus constructed
that every element of an event is a source
and from there, so to speak , rays emanate
you will receive what is drained in your Consciousness
this is how Consciousness works
will be the Norm of this event
but which is at a distance
as if in the space of Thinking closer
than the event itself that you are working with
space of Thinking it can be distinguished
for example, by making a conditional around yourself
somewhere within a radius of a meter, having described
speculatively some such position
in the form of, let's assume, a certain contour
and work at a distance of 20-30 centimeters from yourself
here in this brochure "Unified knowledge system"
there are certain points here
which are connected with the geometry of the work of thought
so, but in this case we are talking about
on the standardization of the information object
and at the same time this standardization is generalized
everyone can work it out
your own management system
for example, comparing this principle
i.e. developing technologically as I explain
your Thinking to the management level
and receiving that this control
it means that it actually leads to that
what you can control
as the microstructure of the substance we assume i.e. microprocesses
as for example by some Macrosystems
which must be registered by someone or you
if this is physical Reality
or if it is an informative Reality
you must
since you know that you are working
in the control system
then you see
that there could be either a fire or some kind of explosion
shift the given event
so that's how I have a course of lectures
according to the Salvation system
and you are preparing to apply it
for example in the field of mathematics
can be used
in the field of development of any science in general
then I give you first of all
this is salvation from a possible global catastrophe
this technology
it may still be special
sometimes it is just special
i.e. let's assume the salvation of one person
we need to do this in any case
sometimes, generally speaking, this is a different level of task completion
but it's the same thing that there is one or all at once
from the point of view of Consciousness it is the same
and from a moral point of view
but from the point of view of technology
Salvation from destruction of all
This is a special technology
because there you will have to
pay attention first
salvation from a possible global catastrophe
which can destroy everyone
and often this determines
a certain structure
your optical level of Perception
so here is the work for Salvation
from a possible global catastrophe
this is the next level of definition of Perception
i.e. Perception at the level where you found it
it means it is divided
on the element more so to say the upper one
like an upper hemisphere
this is salvation from a possible global catastrophe
all
and the lower hemisphere
these are already private elements of Salvation
so here's to get private salvation
at the right time, for example, from something and somewhere
it must be taken into account in any case
control of the outer, i.e. upper part of the sphere
for this
so that it means technologically to manage quickly anyway
where you need it
and save in time
there are special methods of transition
from your Perception on Salvation from a global catastrophe
To
rescue of local levels of some incidents
so this transition is done in this way
that you structure your space of Perception
according to the following principle
there is a principle of cause and effect
i.e. you think that
and so it is
for example from the Consciousness of your being
also by the way in the area of your Perception
i.e. the concept of Perception includes
any elements of Reality
but being at any level of this Perception
a control impulse occurs
this impulse, for example, in the form of a thought
something needs to be saved
something specific
or informative or already happening or accomplished
how to fix it
this impulse passes
into the sphere of global governance
distributed downwards
and hits
as if in the form of an optical level
for some parameters of a private event
as i already said you are already there
in the field of management
any of your Thinking will be the control
and that's when you get there, for example
into this area of private management
then speed is important here
so this is the principle of cause and effect
it can be implemented if you have time for example
but when there are a lot of events at the same time
because I said that it is about Salvation
a person is at the Macro level in any case
i.e. each person participates in the Macrosystem of Management
then you should be able to access the event
unconditionally
i.e. you should get access almost instantly
for example you see
and immediately from what you are watching
the structure of the event must change
the concept of "see" means you think in this area
then when you start practicing
you will understand this
I had a situation at one time
when does that mean I, well, how did I reduce the intensity
there is radioactive radiation if needed
let's assume from the point of view of matter
look then I will bring you the materials
according to materializations we suppose
Now at Moscow State University there are some works
where in a vacuum it means you can organize oxygen
due to the work of Consciousness, etc.
i.e. I am engaged in the principles of fundamental management
where does the first principle come in?
this is Salvation and harmonious development
and then these are some specific technologies
here in specific technologies
there it is brought to perfect control
there by chemical microprocesses
then look at these protocols
what it's about is that
what is the microenvironment
what is the macroenvironment
from a management point of view
in many cases it is the same thing
the main thing is to develop the structure of Consciousness
i.e. put the thought
to the desired control area